特徴❶ 大学受験数学は
“不合格”が決まる恐ろしい科目。
大学受験「数学」の一番の特徴は、大問の数が少ないことだ。
難関大学の入試問題の大問数は、平均して4~5題。
100点満点のテストだとすると、1題あたり20点~25点という計算だ。
これが意味するのは、
途中たった1度、計算を間違えただけで、一気に25点を失う
リスクがあるということだ。これは他の科目にはない、数学だけの特徴だ。
他の科目に比べて問題数が少ないため、1問当たりの配点も非常に大きい。
だから、大学受験数学はちょっとのミスで致命的大失点をしてしまう科目
まさに「不合格」を決定づけうる恐ろしい科目なのだ。
特徴❷ 定期テストと入試では、
問題のレベルがまったく違う!
どれぐらい問題のレベルが違うかを、順を追って説明しよう。
定期テストは50分、大学入試は120分!?
学校の数学の定期テストの制限時間は何分だろうか?
ほとんどの学校が50分のはずだ。
しかし、大学入試となると、多くの難関大学や国公立二次試験では120分、東大は150分、東京科学大(医学部を除く)は180分である。そしてその120分以上の試験時間のなかで解く問題数は、3題~6題、つまり1題解くのに約30分。実際はもっと時間がかかる問題も多く、1題解くのに30分~1時間以上もの時間を要する。
さて、定期テストの問題数はどれぐらいだろうか。約10題~15題程度、1題に5分前後しかかけられない。つまり、大学受験の入試問題は定期テストの何倍も難しいのである。
定期テストをいくら頑張っても本物の入試レベルの問題を経験できない!
定期テストは、あくまで教科書を基準とした基礎解法が習得できているかのチェックが目的だから、50分で教科書レベル、準拠問題集レベルの問題を素早く解くテストである。定期テストで本物の大学受験の問題が出ることはない。何故なら難関大学レベルの問題は1題解くのに30分以上を要する。スラスラ解いてその時間だ。定期テストの制限時間50分で本物の大学受験の問題が出せるわけがない。だから、定期テストだけを頑張って勉強していると、高校3年になっていざ志望校の過去問を見たときに、その難しさに絶望を味わうことになる。
「いやいや、うちの学校は入試問題が出るんです!」と言う人もいるかもしれないが、問題の横にこれみよがしに(大阪大)(京都大)などと書いてある定期テストの問題は、今の本物の入試問題ではない。多くは一部を取り出して改題した問題や、今となっては典型問題入りしたライトな問題なのだ。たとえばとある学校の定期テストで出題された下の問題はどうだろう?
「1995×1994×1993×…×2×1は末尾に0が何個並ぶか。(数学オリンピック)」
「数学オリンピック!?」と驚いたかもしれない。これは1995年数学オリンピックの予選の問題なのだが、今となっては教科書や典型問題集の例題に入ってしまう問題だ。整数が必修課程だった頃の近年の高校生なら5分で解けなければばならない。
特徴❸ 高校受験と同じ勉強方法では通用しない!
一般的な高校受験数学の試験時間は50分であり、学校の定期テストと同じ時間である。だから、高校受験では学校の定期テストを頑張っていれば何とか入試レベルに到達可能だった。しかし、上にも述べたように大学受験数学は、定期テストと次元が違う。
下図【高校受験のステップアップ】に示すように高校受験では定期テスト勉強で良い成績を取る→模試で点数を取れるように広い範囲の復習をする→高校受験の過去問で演習を積む、という具合に普通の努力で入試レベルにステップアップできた。

一方、大学受験数学は、下図【大学受験のステップアップ】のように定期テストと入試本番とのギャップが大きすぎて、定期テストをいくら頑張って勉強したとしても、ほとんどの高校生が目的の入試レベルに到達しえないのだ。1問を5分で解くテストと、1問を30分で解くテストでは難易度のギャップがありすぎるのだ。

そうなると、大学受験は大学受験のための別のルートでステップアップしていく必要がある。すなわち、高校1年次から大学受験基準での学習をコツコツと積み重ねていく必要があるのだ。その具体的な戦略的学習計画はコチラ。
(さて、特徴❶~❸を体感してみよう!)
大学受験数学の実際の問題を見てみよう!
さて、大学受験数学の問題がどれぐらい難しいか、少し垣間見てもらおう。まずは下の答案画像を見てほしい。これは高校数学中盤で習うベクトルという単元を題材とした入試問題1題分の答案である。さて、ここで問題です。
この問題はどこの入試問題でしょう?
カンで良いから雰囲気と記述量で難しさを推し量って欲しい。なかなか難しそうだ(実際難しい)。

これを見せると多くの人が「東大」「早稲田」「東北大」「大阪大」など思い思いの難関大学を答えるのだが、
答えは「日本大学全学部入試」の問題である。
大学受験のなかではマイルドな試験(たとえば共通テストの数学はもっと難しい)で試験時間は6題で60分、この問題にかけられる時間はたった10分。勿論本番はマーク式なのでこんなに丁寧に記述しなくても良いのだが、10分でこれを解くのは大変だ。青チャートなど網羅系問題集の重要例題よりもやや難しい程度の問題だ。これは、特別難しい問題を取り上げたわけでなく、今の日本大学の標準レベルの問題を取り上げている。
さて、ではいよいよ次の問題の答案はどこの大学の入試だろうか?
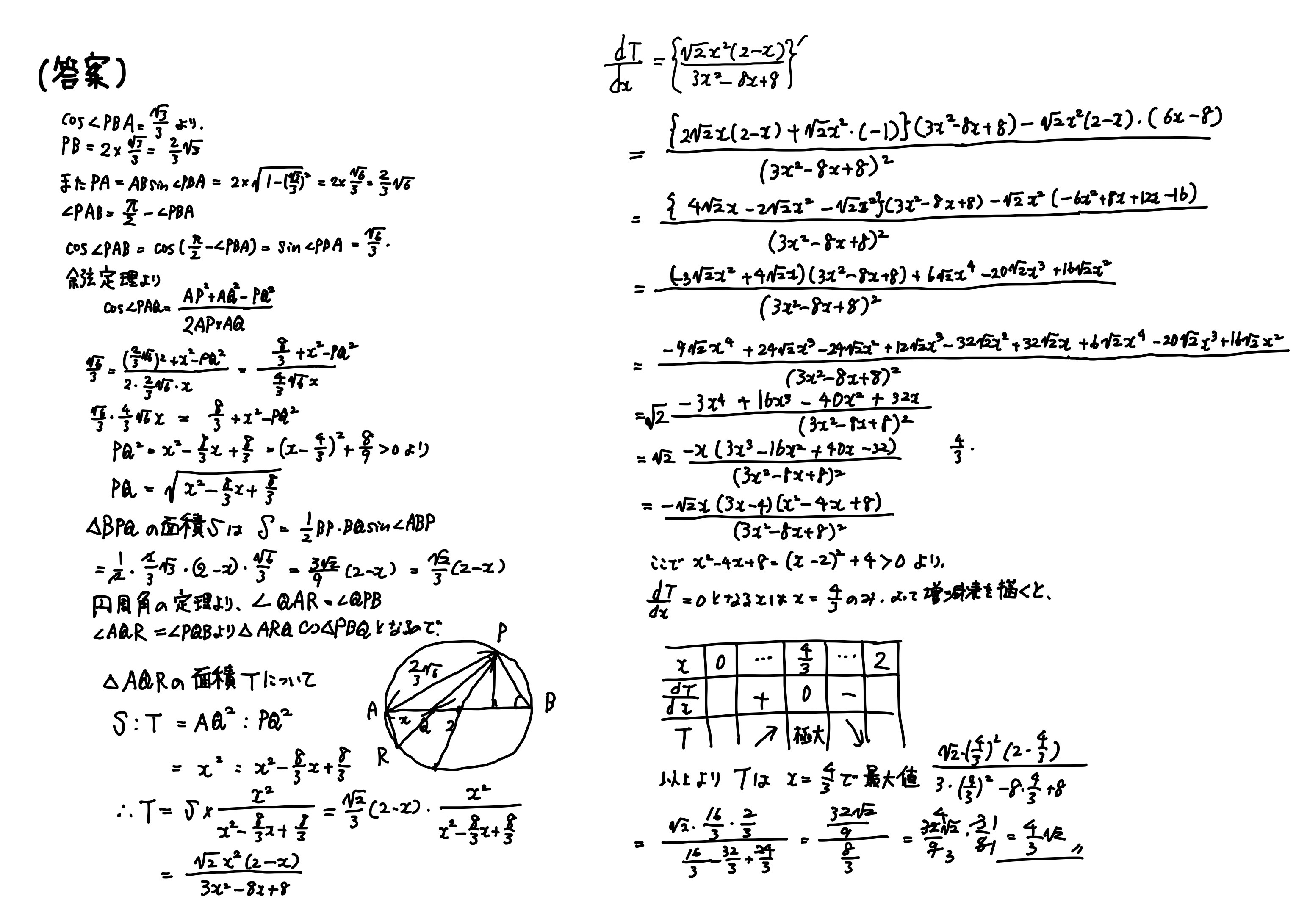
答案を見ると、前の問題よりもずっと難しそうだ。

ついに「東大」かと思いきや、これは「GMARCH」筆頭、明治大学理工学部の入試問題である。適性解答時間は約15~20分。青チャートの例題よりもずっと難しい。これを最後まで計算間違いせず答えを合わせるには、日頃から相当な計算練習が必要だ。
たまに、「せめて日大には」とか「せめてMARCHには」と言う人がいるが、「せめて」の字が違う。
そこはせめて「攻めて〇〇大」という言葉を使って欲しい。
いよいよ最後の問題だ。知識レベルは高校数学の序盤、数学ⅠAの知識で解ける問題なのだが、かなりのボリュームに見える。これで入試1題分だ。どこの大学でしょう?次こそ当ててもらいたい。

これが「東大」だ。青で囲んだ部分の処理だけで、先ほどの日本大学の入試問題1題分ぐらいの処理が必要である。本番ではこれを30分~50分ぐらいで解けると理Ⅰに合格できる?かもしれない。
難関大学に合格するためには、
早期から大学受験基準での準備が必須!
こうして、学校の勉強だけでは殆どの人がどうにもならないのが大学受験数学なのだ。さっきの明治大学や東大の数学の問題を、制限時間内に答えを出すまでの過程で一度も計算ミスせずに答案を書き上げるためには、知識だけや理解だけではどうにもならない。計算力ひとつとっても気が遠くなるほどの練習が必要だ。
「学校の勉強を頑張れば大丈夫!」だった高校受験とはまったく違うことが分かってもらえるだろうか。百燈塾では、大学受験基準の学習を、教科書よりも簡単なスモールステップで行える「数学リニア」を用いて、学校の勉強と大学受験の勉強の両立(正確に言えば、より少ない時間で大学受験基準の学習と学校の学習双方を兼ねる方法)ができるように指導を行っていく。
