2026 慶應医 数学Ⅳ 解いてみた 詳細解説付
2026年慶應大学医学部数学のⅣがかなり難しかったということで、解いてみました。詳しく解説付きです。









慶應医学部の数学は答えの穴埋め形式なので、ここまで丁寧な答案を書く必要はありませんが、実際に答えに至るまでには、これだけの計算量を要求されます。この1問に試験時間100分全てかけてたとしても、解き切るのは厳しいと思います。
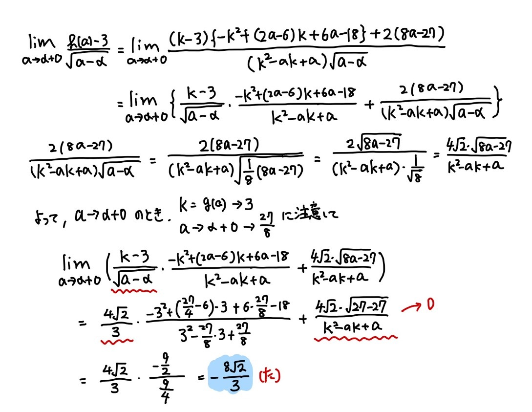
(2)からは↓のような計算が平気で出てくるため

範囲に混合が含まれる積分計算は、1/6公式などをうまく使い、直接計算することが少ないので
「(う)・(え)の答えは本当に合ってるのか?」
という疑問が湧いてくるのも、難しさの要因になっていると思います。私も実際(お)〜の計算量を見て、(う)と(え)の間違っていないか不安になって見直しをしました。(う)と(え)に限って、( )+√( )のような穴埋めではなく、ただ答えを書かせる穴埋めになってるのも嫌らしいですね。
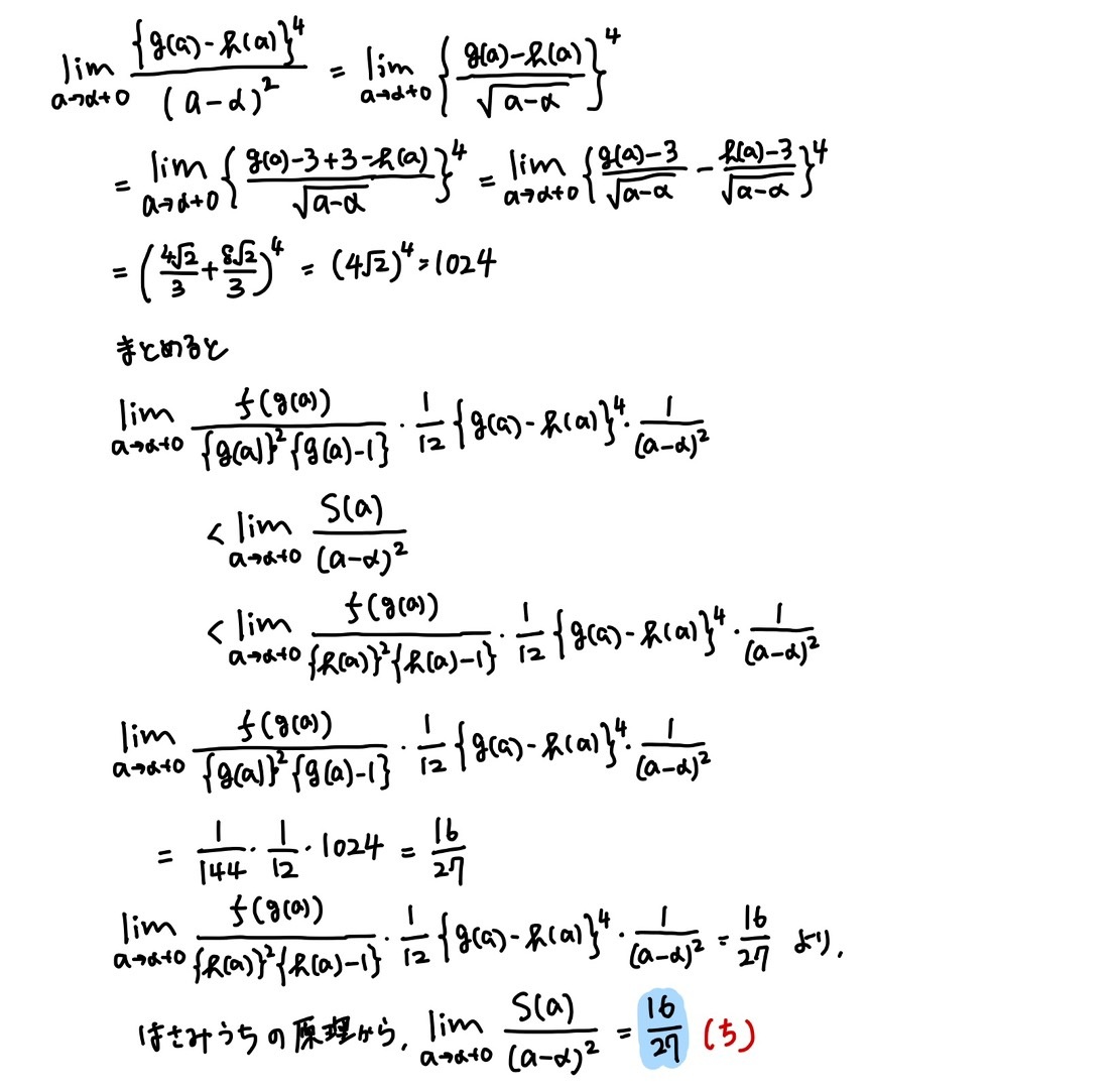
(4)は、計算処理以外の部分も難しいです。g(a)-3を処理するのに、(し)(す)(せ)の誘導をどう使うかが思い付きにくく、思いついたところで、その後の計算も重たいです。
(た)は(そ)を使って解く、(ち)は(そ)と(た)の結果を使って解く、と綺麗な流れにはなっていますが計算はますます激しくなります。(ち)は式処理だけではどうにもならない箇所が出てきたため、不等式を評価して、はさみうちの原理を使っての証明という解法になりました。ですので、誘導に乗りさえすれば、すんなり解けるわけではありませんでした。
試験全体としては、ⅠやⅡなどが解きやすく慶應医学部としては例年並かやや易しめ程度でしたが、このⅣに関しては別格の難しさでした。(和田)

